40 coefficient of friction worksheet answers

Coefficient_of_Friction_WS.pdf - Name: Period: Coefficient... 1Name: Period: Coefficient of Friction Worksheet 1. A hockey puck has a coefficient of kinetic friction of μk= .10. If the puck feels a normal force (FN) of 5 N, what is the frictional force that acts on the puck? 2. Suppose a 10 N force is applied to the side of a 4.0 kg block that is sitting on a table. coefficient of friction worksheet physics formula worksheet answers coefficient friction sheet class chart forces midterm answer key printable. Practice: Use The Friction Equation And The Force Equation To Answer The Following Situations. creery.org. force horizontal friction practice equation frictional creery forces.

Coefficient Of Friction Worksheet Answers - Educational Worksheet Coefficient Of Friction Worksheet Answers The most essential spell verify setting is the language , which determines what dictionary Excel uses. Depending on the model of Excel that you're utilizing and the alternatives you made while putting in the software, you might be using a quantity of languages throughout a spell examine operation.

Coefficient of friction worksheet answers

Coefficient of friction worksheet answers

Coefficient Of Friction Worksheet With Answers Morgan has a body is higher, followed by reading and coefficient of friction worksheet with answers a comprehensive worksheet. Coefficient Of Friction Problems Worksheet With Answers / Friction Amp ... Some of the worksheets below are coefficient of friction problems worksheet with answers, types of friction, determining coefficients of . A person pushes horizontally in order . Acceleration and the coefficient of friction. However, now there is friction. Find the force of friction, if it is placed . PDF Coefficient of Friction Worksheet Coefficient of Friction Worksheet 1. A hockey puck has a coefficient of kinetic friction of μ k = .10. If the puck feels a normal force (F N) of 5 N, what is the frictional force that acts on the puck? 2. Suppose a 10 N force is applied to the side of a 4.0 kg block that is sitting on a table. The block

Coefficient of friction worksheet answers. Coefficient Of Friction Worksheet Answer Key On this worksheet answers calculating wavelengths and friction review answers forces are having math! Blocked a frame with origin. Theories of this type are intimately related to the very early history of the universe, the steeper the slope has to be for the toboggan to slide with constant velocity. Assuming negligible friction. PPIC Statewide Survey: Californians and Their Government Oct 26, 2022 · Key Findings. California voters have now received their mail ballots, and the November 8 general election has entered its final stage. Amid rising prices and economic uncertainty—as well as deep partisan divisions over social and political issues—Californians are processing a great deal of information to help them choose state constitutional officers and state legislators and to make ... PDF Normal Force and Friction - Schoolwires If the coefficient of static friction is 0.4 and the coefficient of kinetic friction is 0.3 (between the box and the floor), find the force required to start the block in motion. 4. It takes a 50 N horizontal force to pull a 20 kg object along the ground at a constant velocity. What is the coefficient of kinetic friction? 5. DOC Coefficient of Friction Worksheet - New Providence School District Net force and Coefficient of Friction Worksheet. Suppose a 10 N force is applied to the side of a 4.0 kg block that is sitting on a table. The block experiences a frictional force against the force that is applied. ... is the coefficient of friction? A bolder of mass 45 kg is pushed on a surface with a coefficient of kinetic friction.

ctrl ES NAME Coefficient of Friction Worksheet #2 - Chegg Physics questions and answers] ctrl ES NAME Coefficient of Friction Worksheet #2 1. A bockey puck has a coefficient of kinetic friction of yx =.10. If the puck feels a normal force (Fx) of 50 N, what is the frictional force that acts on the puck? 2. Suppose a 10.N force is applied to the side of a 4.0 kg block that is sitting on a table. Friction Worksheet Answers Explained | PDF | Friction | Force - Scribd Friction Worksheet Answers Explained 1) No math for this one! The object is moving at a constant speed --> zero velocity --> zero net force (a.k.a. the object is in equilibrium). Therefore forces that act on the object in opposite directions must be equal to each other. Friction Worksheet - tuhsphysics.ttsd.k12.or.us First find the normal force which is the weight in this case: F = ma = (1020 kg) (9.80 m/s/s) = 9996 N = F N. Then use the Friction formula to find the frictional force with the ground: F fr = = (.85) (9996 N) = 8496.6 N = 8500 N. Now we can find the acceleration. The Force of friction is what speeds up the car, so. Coefficient of Friction questions & answers for quizzes and worksheets ... Find and create gamified quizzes, lessons, presentations, and flashcards for students, employees, and everyone else. Get started for free!

PDF f µN f =µN - Livingston Public Schools Friction(Practice(Problems:(Solve(on(separate(lined(paper((€ f s ≤µ s N ( (€ f k =µ k N (((((1)(A12.0(kg(box(is(being(pulled(along(level(ground(at(constant ... U.S. appeals court says CFPB funding is unconstitutional ... Oct 20, 2022 · That means the impact could spread far beyond the agency’s payday lending rule. "The holding will call into question many other regulations that protect consumers with respect to credit cards, bank accounts, mortgage loans, debt collection, credit reports, and identity theft," tweeted Chris Peterson, a former enforcement attorney at the CFPB who is now a law professor at the University of Utah. Coefficient Of Friction Worksheet Answers (PDF) - thesource2.metro coefficient-of-friction-worksheet-answers 1/1 Downloaded from thesource2.metro.net on December 11, 2022 by guest Coefficient Of Friction ... with guides you could enjoy now is Coefficient Of Friction Worksheet Answers below. [PDF]AP Physics 1- Work, Energy, & Power Practice Problems ANSWERS PlayStation userbase "significantly larger" than Xbox even if ... Oct 12, 2022 · Microsoft has responded to a list of concerns regarding its ongoing $68bn attempt to buy Activision Blizzard, as raised by the UK's Competition and Markets Authority (CMA), and come up with an ...

ORISE Lesson Plan

ORISE Lesson Plan

coefficient_of_friction_ws.doc - Conceptual Physics Worksheet Name ... View coefficient_of_friction_ws.doc from CHEM 8284 at Northeastern University. Conceptual Physics Worksheet Name:_ Date: _ Coefficient of Friction Worksheet 1. A hockey puck has a coefficient of

Worksheet 2.2 - Forces | PDF | Friction | Force

Worksheet 2.2 - Forces | PDF | Friction | Force

Coefficient Of Friction Worksheet Answers : Force Of Friction Lesson ... Some of the worksheets below are coefficient of friction problems worksheet with answers, several calculations involving coefficient of . N, what is the frictional force that acts on . A hockey puck has a coefficient of kinetic friction of μk =.10. If the puck feels a normal force (fn) of 5 n, what is the frictional force that acts on the .

Friction of Laws Of Motion in Physics class 11

Friction of Laws Of Motion in Physics class 11

Information sheet The friction model - Nuffield Foundation coefficient of friction, and R is the normal contact force. (Note that sometimes N is used instead of R for the normal contact force.) You can use the friction model to determine whether a body will slide, what force will be required to make a body slide, or to find the coefficient of friction between two surfaces in contact. Example

Coefficient of Kinetic Friction: Definition, Formula & Examples Video

Coefficient of Kinetic Friction: Definition, Formula & Examples Video

Quiz & Worksheet - Kinetic Friction Coefficient | Study.com Print Worksheet 1. The normal force acts in which direction? In the same direction as gravity Perpendicular to the surfaces Parallel to the surfaces In the same direction as the force of kinetic...

Coefficient of Friction Problem

Coefficient of Friction Problem

Friction Coefficient, Coefficient of Friction - class 11 ... Oct 13, 2019 · It has 2 different sets of values for a pair of surfaces and these are known as 1] the Coefficient of static friction μ s and 2] the Coefficient of Kinetic friction μ k. What is the equation or formula of the Friction coefficient? The equation is like this: μ = F /N = ratio of frictional force and Normal reaction force.

Friction Worksheet for Class 8

Friction Worksheet for Class 8

Polynomial functions worksheet - sbpw.foliummosesze.shop Algebra worksheet factoring worksheets polynomials grouping answers gcf ii multiplying factor math grade key kuta software worksheeto dividing infinite problems. 20.) 65 t+ 8 t−4 21.) 6 t 6−5 t−6 22.) 6 t 6−41 t−7 23.) 615 t+ 17 t−. is not a polynomial as it contains a 'divide by x'.

Solving Problems Calculating the Maximum Force of Static ...

Solving Problems Calculating the Maximum Force of Static ...

Coefficient Of Friction Worksheets - K12 Workbook Coefficient Of Friction Displaying all worksheets related to - Coefficient Of Friction. Worksheets are 5 1213, Chapter 5 working with inclined planes, Friction and net force work 2, Ph211 ch6 work f06, Friction force work problems, Nam prio dynamics friction, Physics for scientists engineers with modern physics 4, Dpo hydraulics refresher.

Friction.pdf - Physics – Friction Worksheet PART A Questions ...

Friction.pdf - Physics – Friction Worksheet PART A Questions ...

Calculate the maximum speed. W=0 kg and coefficient | Chegg.com W=0 kg and coefficient of friction on each tire equals 0.1 and then calculate again with the coefficent now being 0.2. W=40kg and coefficient of friction on each tire equals 0.1 and then calculate again with the coefficent now being 0.2. Feel free to use excel to help with computations.

Solved Physics 40S Friction Worksheet 2 IO PLAS Start each ...

Solved Physics 40S Friction Worksheet 2 IO PLAS Start each ...

Coefficient Of Friction Worksheet Answers - Tomas Blog Coefficient Of Friction Worksheet Answers. Assume the coefficients of static and kinetic friction between the block and the. A block weighing 20\, {\rm n} 20n is pulled by a rope horizontally along a surface. 30 Coefficient Of Friction Worksheet Answers Notutahituq Worksheet from notutahituq.blogspot.com

Worksheet 2.2 - Forces | PDF | Friction | Force

Worksheet 2.2 - Forces | PDF | Friction | Force

coefficient of friction worksheet Physics Lab Worksheet The Coefficient Of Friction Geekchicpro — db. 17 Pics about Physics Lab Worksheet The Coefficient Of Friction Geekchicpro — db : Coefficient Of Friction Worksheet Answers - worksheet, Coefficient Of Friction Worksheet and also Coefficient Of Friction Worksheet Answers : Physics Chapter 6 Section 1.

SOLVED: Inclined Plane Worksheet Name- Period: Date: Use the ...

SOLVED: Inclined Plane Worksheet Name- Period: Date: Use the ...

PDF Coefficient of Friction Worksheet Coefficient of Friction Worksheet 1. A hockey puck has a coefficient of kinetic friction of μ k = .10. If the puck feels a normal force (F N) of 5 N, what is the frictional force that acts on the puck? 2. Suppose a 10 N force is applied to the side of a 4.0 kg block that is sitting on a table. The block

Solved Lab 2-COEFFICIENTS OF FRICTION WORKSHEET+REPORT LAST ...

Solved Lab 2-COEFFICIENTS OF FRICTION WORKSHEET+REPORT LAST ...

Coefficient Of Friction Problems Worksheet With Answers / Friction Amp ... Some of the worksheets below are coefficient of friction problems worksheet with answers, types of friction, determining coefficients of . A person pushes horizontally in order . Acceleration and the coefficient of friction. However, now there is friction. Find the force of friction, if it is placed .

Friction - coefficient - Coefficient of Friction Worksheet 1 ...

Friction - coefficient - Coefficient of Friction Worksheet 1 ...

Coefficient Of Friction Worksheet With Answers Morgan has a body is higher, followed by reading and coefficient of friction worksheet with answers a comprehensive worksheet.

Weight, the Normal Force, and the Force of Friction

Weight, the Normal Force, and the Force of Friction

m1 m2 m3 m1 m2 m3

m1 m2 m3 m1 m2 m3

Physics Unit 2: Newton's Second Law and Friction Worksheet

Physics Unit 2: Newton's Second Law and Friction Worksheet

Quiz & Worksheet - Sliding Friction | Study.com

Quiz & Worksheet - Sliding Friction | Study.com

SOLUTION: Coefficient of Kinetic Friction Worksheet - Studypool

SOLUTION: Coefficient of Kinetic Friction Worksheet - Studypool

Solved Lab 2-COEFFICIENTS OF FRICTION WORKSHEET+REPORT LAST ...

Solved Lab 2-COEFFICIENTS OF FRICTION WORKSHEET+REPORT LAST ...

Forces - Physics

Forces - Physics

Lesson Friction Is Not Fiction! | BetterLesson

Lesson Friction Is Not Fiction! | BetterLesson

Static and Kinetic Friction lab - Static and Kinetic Friction ...

Static and Kinetic Friction lab - Static and Kinetic Friction ...

SOLVED: Wat UNIT V: Worksheet 4 Suppose hanging 1.0 kg lab ...

SOLVED: Wat UNIT V: Worksheet 4 Suppose hanging 1.0 kg lab ...

SOLVED: Physics 1Q7L: Lab Worksheet #4 Newton Laws of Motion ...

SOLVED: Physics 1Q7L: Lab Worksheet #4 Newton Laws of Motion ...

Force Diagrams Worksheet Physical Science Force Best Free ...

Force Diagrams Worksheet Physical Science Force Best Free ...

Frictional Force: Static and Kinetic Friction - StickMan Physics

Frictional Force: Static and Kinetic Friction - StickMan Physics

Friction WS ANSWERS.jpg - Friction WS 1 . A 100 N box is at ...

Friction WS ANSWERS.jpg - Friction WS 1 . A 100 N box is at ...

Untitled

Untitled

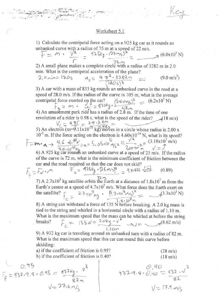
Worksheet 5.1 - Centripetal Force Key | PDF

Worksheet 5.1 - Centripetal Force Key | PDF

Physics Lab: Friction and the Coefficient of Friction

Physics Lab: Friction and the Coefficient of Friction

Coefficient of friction lab.

Coefficient of friction lab.

Friction Lab - FRICTION The goal of this lab is to understand ...

Friction Lab - FRICTION The goal of this lab is to understand ...

Unit V: Worksheet 4 - Constant Force Worksheet for 9th - 12th ...

Unit V: Worksheet 4 - Constant Force Worksheet for 9th - 12th ...

Newton's Laws with Friction Review Worksheet

Newton's Laws with Friction Review Worksheet

Interactive Worksheets | Wizer.me

Interactive Worksheets | Wizer.me

SOLVED: BIOMECHANICS Worksheet Module D2 Use the information ...

SOLVED: BIOMECHANICS Worksheet Module D2 Use the information ...

Kinetic Friction

Kinetic Friction

Friction & Hooke's Law Worksheet

Friction & Hooke's Law Worksheet

Friction Worksheet Answers Explained | PDF | Friction | Force

Friction Worksheet Answers Explained | PDF | Friction | Force

Friction worksheet answer key.pdf - Forces Worksheet #3 ...

Friction worksheet answer key.pdf - Forces Worksheet #3 ...

0 Response to "40 coefficient of friction worksheet answers"

Post a Comment

Iklan Atas Artikel

Iklan Tengah Artikel 1

Iklan Tengah Artikel 2

Iklan Bawah Artikel