38 acid and bases worksheet answers
____ 13. Which statement about Arrhenius acids is FALSE? a. Their water solutions are called aqueous acids. b. They are molecular compounds with ionizable hydrogen atoms. c. Their pure aqueous solutions are electrolytes. d. They increase the concentration of hydroxide ions in aqueous solution. ____ 14. Strong bases are a. strong electrolytes. c. Acids-and-Bases-Practice-Worksheets-with-Full-Solutions-ChemistNate-July-2021.pdf: File Size: 7170 kb: File Type: pdf: Download File. Step 2: Do the questions, and follow along with this video for when you get stuck: This workbook contains questions about: pH of a Strong Acid pH of a Weak Acid
Classify the following as an acid or base using the Arrhenius definition of an acid or base. 7. HN03 is an Arrhenius and increases the concentration of when added to water. 8. KOH is an Arrhenius and increases the concentration of ... answers. When most people think of chemistry the first terms that come to mind are acids and bases.

Acid and bases worksheet answers
Naming Acids And Bases Worksheet Answers. SOH 2 4 Sulfuric AcidSulfic Acid 5. WORKSHEET 8 NOTES The pH of a WEAK acid solution Calculate the pH of a 0500 M aqueous solution of formic acid HCOOH K a 177 x 10-4 Step 1 List the major species in the solution. August 11 2021 on Naming Acids Worksheet 1 Answer Key. Practice Worksheet Naming Acids ... Created Date: 5/15/2014 12:44:28 PM Acids & alkalis for KS3 Science - Worksheet (Answers) 1. Colour the pH scale and add the following labels: Neutral, Strong acid, weak acid, strong alkali and weak alkali.
Acid and bases worksheet answers. Acid and Base Worksheet - Answers. 1) Using your knowledge of the Brønsted-Lowry theory of acids and bases, write equations for the following acid-base ... base chemistry, Acids bases and a base r, Acids and bases an introduction work answers, Lesson 8 acids bases and the ph scale time ii, Chapter 14 creative commons license acidsbases and salts. Introduction To Acids And Bases Worksheets - Learny Kids WORKSHEET: SOLUTION EQUILIBRIUM (Weak acids and bases, buffers, Polyprotic acids, and Hydrolysis.) SET A: 40.00 ml of 0.350 M CH3NH2 is titrated with 0.280 M HCI until the end point is . Calculate the pH Of at the Kb for CH3NH2— 5.0 x 10-4 ) E O 5.0 Answer: 5.74 ACIDS BASES AND SALTS 1. The pH of a sample of vegetable soup was found to be 6.5. How is this soup likely to taste? Answer. The taste will be slightly sour as it is weakly acidic. 2. Which bases are called alkalies? Give an example of alkalies. Answer. Soluble bases are called alkalies, e.g. sodium hydroxide (NaOH). 3.
(Answer: (a) HCl > HF > HNO2 > C6H5COOH > CH3COOH > HCN). 7. For each acid-base equilibrium shown below, predict whether the equilibrium shifts to the right ... Acid base worksheet 1. Acids and Bases Are All Around You may not know it, but you come in contact with acids and bases when cooking, cleaning, and eating. Have you ever used baking soda in the kitchen? Baking soda is a base. Maybe you have eaten salad dressing with vinegar in it - vinegar is a weak form of acetic acid. ID: 2162992 Language: English School subject: English language Grade/level: 7 Age: 13-14 Main content: Acids and Bases Other contents: Neutralisation Add to my workbooks (4) Download file pdf Embed in my website or blog Add to Google Classroom Activities. This "Acid and Base" () worksheet from Mr. Guch's Calvacade of Chemistry uses the Brønsted-Lowry theory of acids and bases.Mr. Guch provides these worksheets for practice with pH: "pH Practice" (), "pH Calcuations" (), and "pH Review Problems ().All Mr. Guch's worksheets include answers. Dr. Greenbowe has a "Solutions of Acids, Bases, and Salts" simulation ...
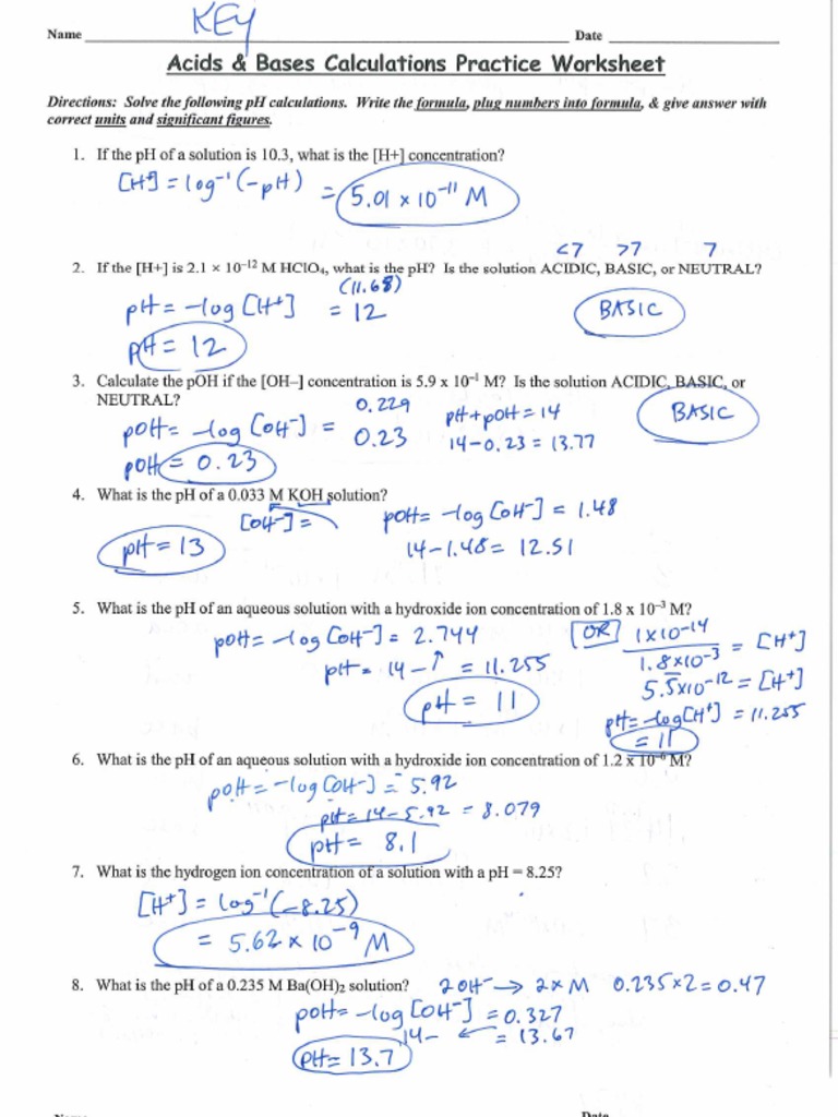
WORKSHEET 8 (NOTES) The pH of a WEAK acid solution Calculate the pH of a 0.500 M aqueous solution of formic acid, HCOOH [K a =1.77 x 10-4] Step 1 List the major species in the solution. Identify or distinguish at least three properties different between acids and bases. Honors Chemistry Worksheet - Acid Names and Formulas ANSWER. KEY. Provide the best complete detailed yet concise response for each of the following questions or problems. What element is present in all acids? __ hydrogen _____ Complete the following table. About And Acids 3 Answer To Bases Introduction Worksheet Key Part . What codons code for amino acid "Pro" 3. Similar searches Calculus 4. Acids and bases worksheet answers from conjugate acid base pairs worksheet source. Ca(OH)2 + 2HCl → CaCl2 +2H2O (acid-base reaction) 25. What is temperature. Well have to prepare the folder for download. About Bases Worksheet Answer 3 Key Part To Acids Introduction And . ACIDS--BASES-AND-SALTS-WORKSHEET. 5 x 10-8 2 x 10-9 6. I used this free online worksheet in t. Some of the worksheets. mp4 Worksheet 5: 15 questions to get your starting solving simple (non-neutralization) acid base and solubility calculations.
1. Overview of Acids and Bases The first lesson introduces learners to the focus of this series: acids and bases. It also establishes important differences between these two kinds of substances. 2. Acid-base Theories and Conjugate Acid-base Pairs This lesson focuses on the different acid-base theories as well as conjugate acid-base pairs. 3 ...
Read Book Strength Of Acids And Bases Worksheet Answers pH of Common Acids and Bases. The pH of a solution depends on the strength of the acid or base in the solution. Measurements of the pH of dilute solutions are therefore good indicators of the relative strengths of acids and bases. Values of the pH of 0.10 M solutions of a number of common ...
Acid and Base Worksheet (DOC 30 KB) Acid Base Neutralization (DOC 24 KB) pH Indicators (DOC 33 KB) Reactions of Acids and Bases (DOC 37 KB) Electrolytes Worksheet (DOC 25 KB) Titration Problems (DOC 62 KB) Acid, Bases, & Salts Practice Multiple Choice Problems (DOCX 36 KB) Acid, Bases, & Salts Practice Multiple Choice Problems - Answer Key ...
Download Ebook Acid Base Ration And Ph Worksheet AnswersAcid Base Ration And Ph Worksheet Answers When somebody should go to the ebook stores, search establishment by shop, shelf by shelf, it is in reality problematic. This is why we offer the book compilations in this website. It will certainly ease you to look guide acid base ration and
Fill Acids And Bases Worksheet With Answers Pdf, Edit online. Sign, fax and printable from PC, iPad, tablet or mobile with pdfFiller ✓ Instantly. Try Now!
Acids Bases And Salts Worksheet Acid Sodium Chloride For Elementary Coloring 2nd Grade Acids And Bases Worksheet For Elementary Coloring Worksheet Worksheet 5th grade ...
Acid and Base Worksheet - Answers Acid and Base Worksheet - Answers 1) Using your knowledge of the Brønsted-Lowry theory of acids and bases, write equations for the following acid-base reactions and indicate each conjugate acid-base pair: a) HNO3 + OH-1 ( H2O + NO3-1 HNO3 and NO3-1 make one pair OH-1 and H2O make the other b) CH3NH2 + H2O (
(acid, base, neutral) 10. I can identify acids, bases, conjugate acids, and conjugate bases in a Bronsted-Lowry reaction. Label the acid, base, conjugate acid, and conjugate base in the following reactions. NH 3 + H4 H2S04 + OH- HS04 —1-171-ca Il-determine-if-a H20 ew:s aci se. 12.
Created Date: 3/14/2019 9:28:52 AM
pH Calculations; Relationships between pH and pOH p4 Answers p12 K a: Sense + Calculations. Using K a or pK a to Calculate [H+] and/or pH; using pH to calculate K a or pK a p5 Conceptual Questions. Acids, Bases, and Conjugates, Miscellaneous 1. In the Brønsted-Lowry definition of acids and bases, an acid _____ a. is a proton donor. d.
3719 Acids and Bases Worksheet - hyperconjugation.com. 3719 Acids and Bases Worksheet - Answers 1. For this type of question you have to know the approximate pKa values discussed in class and have an idea of what they mean in terms of relative acid strength and also relative base strength.
Jan 28, 2022 · Ph and poh worksheet 2 answer keyWhat do the following values of poh indicate about sol n acidity. Download Free Solutions Acids And Bases Review Worksheet Answers Solutions Acids And Bases Review Worksheet Answers When somebody should go to the books stores, search establishment by shop, shelf by shelf, it is in reality problematic.
Acid and Base Worksheet – Answers. Write equations for the following acid-base reactions and indicate each conjugate acid-base pair: a)HNO3 + OH- (. H2O + NO3-. A B CA CB. conjugate acid-base pairs: HNO3 and NO3-. OH- and H2O. b)OH- + HPO4-2 (.
Some of the worksheets below are Acids and Bases Worksheet Middle School : Acid vs. Base Characteristics, Bronsted Acids and Bases, Identify Conjugate Acid/Base, Acids, Bases, and Conjugates : Recognizing Strong versus Weak Acids, Relationships between pH and pOH, …. Once you find your worksheet (s), you can either click on the pop-out icon ...
Showing top 8 worksheets in the category acids and bases answer key some of the worksheets displayed are chapter 19 acids bases salts work answers chapter 14 acids. Identification of ions and gases. (b) yellow in acid and red in base. Worksheet will open in a new window. Transcription translation worksheets answer key. Print acid and base ...
Acid and Base Worksheet - Answers 1) Using your knowledge of the Brønsted-Lowry theory of acids and bases, write equations for the following acid-base reactions and indicate each conjugate acid-base pair: a) HNO3 + OH- ( H2O + NO3- HNO3 and NO3- make one pair OH- and H2O make the other b) CH3NH2 + H2O ( CH3NH3+ + OH-
ACIDS, BASES, & THE pH SCALE Name: Answer Key Date: Pd: PART 1: ACIDS AND BASES. Comparing Acids and Bases Acids. Sour. taste, leaves . burning. sensation Increase ...
(Acids/Bases) are also commonly used to produce soaps and have a (bitter/sour) taste. Seltzer water and all sodas contain a very mild (acid/base) known as _____. This is formed by dissolving carbon dioxide in water. The chemical formula for this substance is _____. Vinegar is a(n) (acid/base) finds its way into our diet in ketchup and most
CBSE Class 7 Science Acids, Bases and Salts Worksheets with Answers for Chapter 5 in PDF format to download prepared by expert Science teachers from latest edition of CBSE(NCERT) books. Register online for Science tuition on Vedantu.com to score more marks in your examination.
ID: 1173409 Language: English School subject: Science Grade/level: Grade 9 Age: 11-12 Main content: Acids and Bases Other contents: Acids and Bases Add to my workbooks (41) Add to Google Classroom Add to Microsoft Teams Share through Whatsapp
Acids & alkalis for KS3 Science - Worksheet (Answers) 1. Colour the pH scale and add the following labels: Neutral, Strong acid, weak acid, strong alkali and weak alkali.
Created Date: 5/15/2014 12:44:28 PM
Naming Acids And Bases Worksheet Answers. SOH 2 4 Sulfuric AcidSulfic Acid 5. WORKSHEET 8 NOTES The pH of a WEAK acid solution Calculate the pH of a 0500 M aqueous solution of formic acid HCOOH K a 177 x 10-4 Step 1 List the major species in the solution. August 11 2021 on Naming Acids Worksheet 1 Answer Key. Practice Worksheet Naming Acids ...
0 Response to "38 acid and bases worksheet answers"
Post a Comment